Queries, comments, suggestions? Please contact us.



Area Control technology / Control hierarchies

IEV ref 351-55-01

en
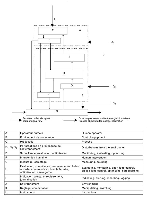
operating mode
characterization of the way and the extent to which the human operator intervenes in the control equipment

SEE: Figure 27.

Note 1 to entry: This entry was numbered 351-31-01 in IEC 60050-351:2006.


fr
mode de fonctionnement, m
caractérisation de la manière et du degré avec lequel l'opérateur humain intervient sur l'équipement de commande

VOIR: Figure 27.

Note 1 à l'article: Cet article était numéroté 351-31-01 dans la CEI 60050-351:2006.

Figure 27 – Functions of control equipment and human operator

Figure 27 – Fonctions de l'équipement de commande et de l'opérateur humain


ar
اسلوب التشغيل

cs
provozní režim

de
Betriebsart, f

es
modo de funcionamiento, m

fi
käyttötila

it
modo operativo

ko
운영 형태
조작모드

ja
操作モード

pl
rodzaj pracy
tryb współpracy
tryb pracy

pt
modo de operação

zh
操作模式

Publication date: 2013-11
Copyright © IEC 2026. All Rights Reserved.